L’enseignement du professeur Krishnamacharya s’appuie sur de nombreuses notions d’ayurveda (médecine indienne), comme l’action langhana.
Une pratique de yoga est dite langhana quand celle-ci a une action d’élimination. On retrouvera pour cela toutes les postures en flexion avant, mais également les rythmes respiratoires où l’expiration et les rétentions poumons vides s’allongent.
Ces pratiques nous permettent de solliciter la région abd ominale. C’est de cet espace que l’on fait remonter le souffle d’expiration, lié à apāna, énergie d’élimination. Une bonne organisation de cette région abdominale garantit le bon fonctionnement des organes d’assimilation et d’élimination.
Des pratiques langhana permettent de donner au yoga une visée thérapeutique. Elles permettent de perdre du poids, éliminent les toxines, apaisent l’organisme et le mental, et réorganisent harmonieusement l’énergie (prāṇa) et donc le fonctionnement du corps.
Pratiquer régulièrement du yoga orienté langhana permet d’entretenir une bonne santé physique et mentale.
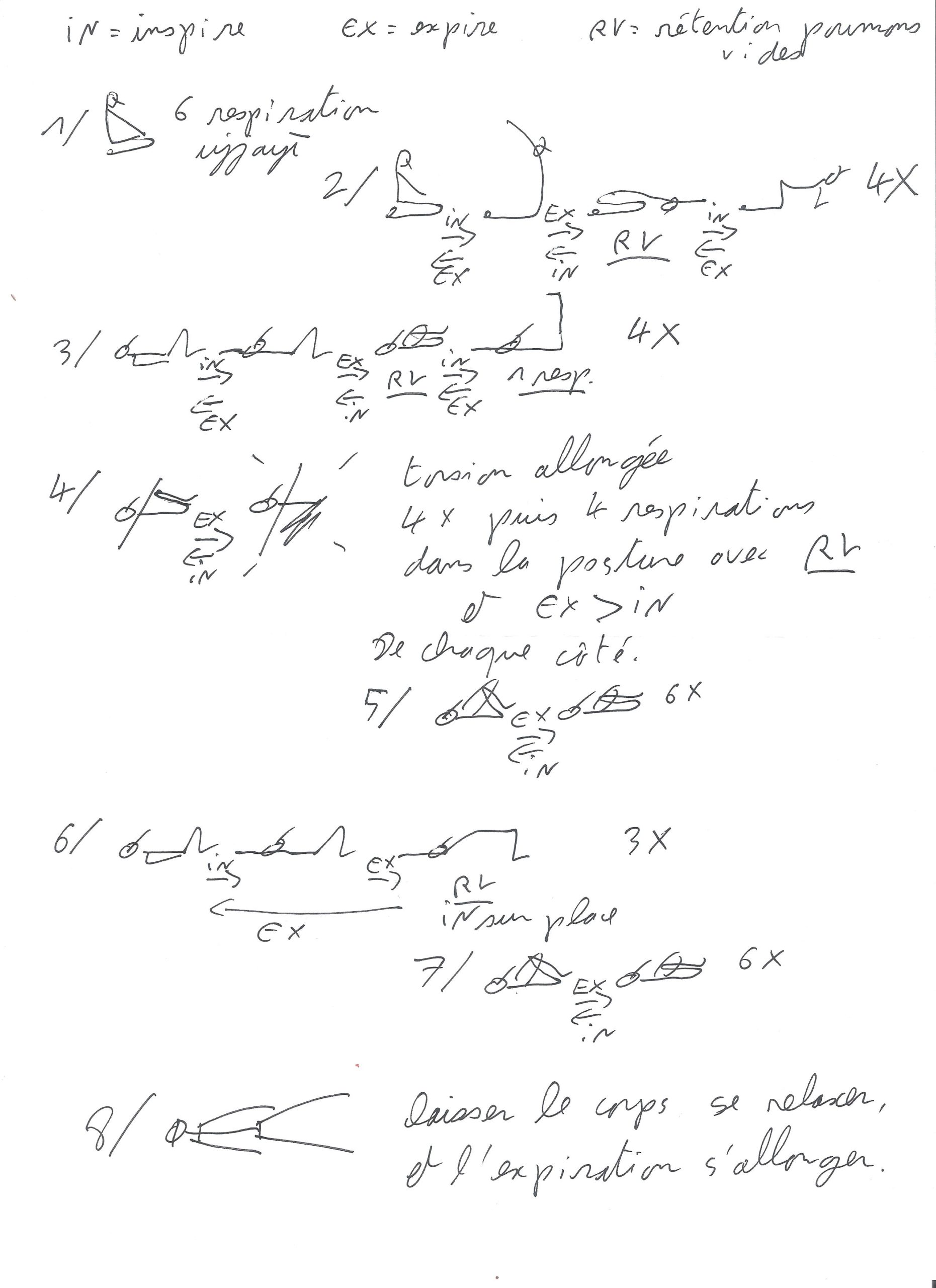
Ci-dessous une courte séance langhana qui peut être pratiquée chez vous. L’expiration doit être plus longue que l’inspiration, démarre depuis l’ombilic, et doit être suivie d’une rétention poumons vides en laissant l’attention dans l’espace du ventre.

